[ML] 퍼셉트론(Perceptron)의 개념과 구조, 동작, 학습
Machine Learning
저는 아래의 책을 통해 정리하였지만, 해당 책은 수식에 대한 설명 위주라서 서치 해서 찾은 자료를 함께 정리하였습니다. 참고 바랍니다.🏃♀️
3장 pdf

퍼셉트론(Perceptron)
퍼셉트론(Perceptron) 은 학습이 가능한 초창기 신경망 모델이다. 이후 노드, 가중치, 층과 같은 새로운 개념이 도입되었다. 주어진 데이터를 선형 분리할 수 있다면 미분을 활용한 알고리즘은 100% 정확률로 수렴할 수 있다는 것이 증명되었다.
딥러닝을 포함하여 현대 신경망은 퍼셉트론을 병렬 구조와 순차 구조로 결합한 형태이다. 즉, 퍼셉트론은 현대 신경망의 중요한 구성 요소이므로 구조와 동작, 학습 알고리즘, 특성을 제대로 이해할 필요가 있다.
1. 구조

퍼셉트론의 구조는 그림 3-3(a)을 참고하면 된다. 입력층과 출력층이라 불리는 2개의 층이 있고, 입력층은 아무 연산을 하지 않아 층의 개수를 세지 않는다. 따라서 퍼셉트론은 1개의 층이 있다고 말할 수 있다.
층을 구성하는 노드는 원으로 표시하며, 입력층에 있는 입력 노드 하나는 특징 벡터의 특징 하나를 의미한다.
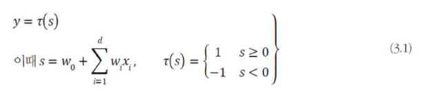
따라서 특징 벡터를 x = (x_1,x_2, ..., x_d) T로 표기한다면 입력층은 d개의 노드를 가진다. 맨 위에 x_0으로 표기된 bias라 부르는 여분의 노드가 있어서 d+1개의 입력 노드가 있다.
출력층은 y라 표기된 하나의 노드를 가진다. 입력 노드는 모두 출력 노드와 에지로 연결되어 있는데, 에지는 w_i로 표기된 가중치(weight)를 가진다. 따라서 d+1개의 가중치가 있다.
2. 동작
퍼셉트론의 동작은 단순하다. 입력층에 특징 벡터 x = (x_1,x_2, ..., x_d) T가 들어오면, 서로 연결된 특징값과 가중치를 곱한 결과를 모두 더한다. 이렇게 얻은 값 s(그림 3-3(b))를 활성화 함수(activation function)에 입력으로 넣고 계산한다.
activation function의 출력이 퍼셉트론의 최종 출력이 되는데, 1 또는 -1이 된다.

해당하는 특징값과 가중치를 곱한 결과를 모두 더하여 s를 구하고, activation function r을 적용하여 최종 출력 y는 +1 또는 -1이 된다.
예제 3-1

[예제 3-1]에서 x를 100% 정확하게 분류하는 퍼셉트론은 무수히 많다. 예를 들어, x_2노드에 연결된 가중치를 0.9로 바꾸어도 성능은 같다. 이러한 성질은 일반적으로 성립한다.
즉, 어떤 훈련 집합을 같은 성능으로 분류하는 퍼셉트론은 무수히 많다는 것이다.
행렬 표기

행렬곱 wTx는 벡터의 내적 w*x로 표기해도 된다.
식 3.2에서는 bias를 별도로 취급하였는데, bias 노드의 값 1을 벡터에 추가하여 feature vector(특징 벡터)를 d+1차원으로 확장하면, 식 3.3처럼 더 간결하게 표현할 수 있다.
식 3.3을 이용해서 퍼셉트론의 동작을 y = r(wTx)로 표현할 수 있고, 행렬을 이용한 간결한 표현법은 이후에도 계속 나온다.
분류기로 해석

[그림3-5]는 퍼셉트론의 동작을 기하학적으로 설명한 그림이다. 이 퍼셉트론은 2차원 특징 공간을 파란색 직선을 따라 +, - 영역으로 나누었다.
- 영역은 +1로, - 영역은 -1로 분류하는 이진 분류기이다.

해당 식은 직선의 방정식이며, 퍼셉트론의 가중치가 직선을 정하게 된다. w1, w2,..., wd는 직선의 방향을, w0는 절편을 결정한다.
이처럼 특징 공간을 2개의 영역으로 나눔으로써 패턴의 부류를 결정하는 경계를 decision boundary라고 한다. 퍼셉트론은 선형 방정식으로 사용하므로, 2차원에서는 결정 경계가 직선이 되는데 이 직선을 decision line이라고 한다.
[그림 3-4(b)]나 [그림 3-5]는 표현 방법만 다를 뿐, 모두 퍼셉트론이 선형 분류기(linear classifier)라는 사실을 나타낸다.
3. 학습

위는 2차원 공간에 4개의 샘플이 있는 train set이었지만, 현실은 d차원의 공간에 수백~수만 개의 샘플이 존재한다. 여기서 매개변숫값을 어떻게 찾아낼 것인가?
목적함수 설계
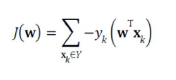
퍼셉트론의 매개변수를 w = (w0, w1, w2,..., wd) T라 표기하면, 매개변수 집합은 θ = {w}이다.
목적함수를 J(θ) 또는 J(w)로 쓸 수 있다.
목적함수는 다음 조건을 만족해야 한다.
목적함수 조건
- J(w) ≥ 0
- w가 최적이면, 즉 모든 샘플을 맞히면 J(w)=0이다.
- 틀리는 샘플이 많은 w일수록 J(w)는 큰값을 가진다.

J(w) 식은 위와 같이 나타낸다. Y는 w가 틀리는 샘플의 집합이다. 이 식을 편미분 하면 아래와 같이 나타난다.

가중치 갱신 규칙인 θ = θ - pg를 적용하고, 그레디언트 g를 계산하기 위해 J(w)를 편미분 하면 식 3.8을 얻는다. x_ki는 x_k의 i번째 요소이다.
즉, x_k = (x_k0, x_k1,..., x_kd) T이다.
식 3.8을 가중치 갱신 규칙(θ = θ - pg)에 대입하면 식 3.9가 나온다. 목적함수가 커지는 방향이므로 -를 붙여 계산하고 p는 학습률이다.
행렬 표기

행렬 표기 방식은 위의 이미지를 참고!
퍼셉트론(Perceptron) - 인공신경망의 기초개념 머신러닝/딥러닝
퍼셉트론(Perceptron) 인공지능(AI)은 우리 사람의 뇌를 흉내 내는 인공신경망과 다양한 머신러닝 알고리즘을 통해 구현됩니다. 이전 포스팅에서 잠시 언급했던 딥러닝 알고리즘이 현재 가장 널리 사용되는 인공지능을 위한 알고리즘이죠. 이런 딥러닝도 수십 년 전에 개념이 정립되었던 초기 인공신경망으로부터 발전된 것이라 볼 수 있습니다.
여기서 소개할 퍼셉트론과 퍼셉트론을 좀 더 발전시킨 아달라인은 이해하기가 다소 까다로울 수 있지만 앞으로 계속 등장할 머신러닝의 다양한 내용을 위한 기초 개념이 되므로 이해하고 넘어가는 것이 좋습니다.

우리 사람의 뇌는 신경계를 구성하는 주된 세포인 뉴런(neuron)을 약 1000억 개 정도 가지고 있으며, 뉴런들은 시냅스라는 구조를 통해 전기, 화학적 신호를 주고받음으로써 다양한 정보를 받아들이고, 그 정보를 저장하는 기능을 수행합니다.
아래 그림은 하나의 뉴런에서 신호를 입력받고 그에 대한 결과 신호를 출력하는 개념을 도식화한 것입니다.
우리 사람의 뇌 속에는 위 그림과 같은 뉴런이 1000억 개 가까이 서로가 다층적으로 복잡하게 연결되어 있는 것이죠. 이런 뇌 구조로 뇌활동이 일어나는 것이며, 인간이 수행하는 모든 일(생각하고, 배우고, 창조하고, 기억하고, 느끼고, 아파하고,, 등등 모든 것)에 관여하고 있습니다. 1943년 신경과학자인 Warren S. McCulloch과 논리학자인 Walter Pitts는 하나의 사람 뇌신경세포를 하나의 이진(Binary) 출력을 가지는 단순 논리 게이트로 설명했습니다.
위 그림에서 여러 개의 입력 신호가 가지돌기(Dendrite)에 도착하면 신경세포 내에서 이들을 하나의 신호로 통 합하고, 통합된 신호 값이 어떤 임계값을 초과하면 하나의 단일 신호가 생성되며, 이 신호가 축삭돌기(Axon)를 통해 다른 신경세포로 전달하는 것으로 이해했습니다.
이렇게 단순화된 원리로 동작하는 뇌 세포를 McCulloch-Pitts뉴런(MCP 뉴런)이라 부릅니다. 1957년 코넬 항공 연구소에 근무하던 Frank Rosenblatt은 MCP 뉴런 모델을 기초로 퍼셉트론(Perceptron) 학 습 규칙이라는 개념을 고안하게 되는데, Rosenblatt은 하나의 MCP 뉴런이 출력신호를 발생할지 안 할지 결정하기 위해, MCP 뉴런으로 들어오는 각 입력값에 곱해지는 가중치 값을 자동적으로 학습하는 알고리즘을 제안했습니다. 이 알고리즘은 머신러닝의 지도학습이나 분류(classification)의 맥락에서 볼 때, 하나의 샘플이 어떤 클래스에 속해 있는지 예측하는 데 사용될 수 있습니다.
아래 그림은 Rosenblatt이 제안한 퍼셉트론 알고리즘 개념을 도식화한 것입니다.

여기서 x0~xn은 퍼셉트론 알고리즘으로 입력되는 값이며, w0~wn은 각각 x0~xn에 곱해지는 가중치입니다. 입 력값은 보통 분류를 위한 데이터의 특성(feature)을 나타내는 값으로 이루어져 있으며, 이 특성값 x0~xn에 가 중치 w0~wn을 곱한 값을 모두 더하여 하나의 값으로 만듭니다.
이 값을 만드는 함수를 순입력 함수(net input 함수)라고 부릅니다. 순입력 함수의 결괏값을 특정 임계값과 비교를 하고, 순입력 함수 결과값이 이 임계값보 다 크면 1, 그렇지 않으면 -1로 출력하는 함수를 정의합니다. 이 함수를 활성 함수(Activation function)라고 부릅니다.
퍼셉트론은 다수의 트레이닝 데이터를 이용하여 일종의 지도 학습을 수행하는 알고리즘입니다. 트레이닝 데이 터에는 데이터의 특성값에 대응되는 실제 결과값을 가지고 있어야 합니다. 입력되는 특성값 x0~xn에 대한 실 제 결과값을 y라고 한다면 이 y를 활성 함수에 의해 -1 또는 1로 변환합니다.
이렇게 변환한 값과 퍼셉트론 알 고리 즘에 의해 예측된 값이 다르면 이 두 개의 값이 같아질 때까지 특정식에 의해 가중치 w0~wn을 업데이트합니다.

위 그림을 보다 단순하게 도식화하면 다음 그림과 같이 입력층, 중간층, 출력층과 같이 나타낼 수 있습니다. 여기서 중간층을 노드 또는 뉴런이라 부르며, 입력층은 다른 노드의 출력값이 입력값으로 전달되는 층이며, 출 력층은 이 노드의 출력값이 다른 노드로 전달되는 층이라고 생각하면 됩니다.
이와 같이 중간층이 하나의 노드로 구성되어 중간층과 출력층의 구분이 없는 구조를 단순 또는 단층 퍼셉트론이라 부르며, 중간층을 구성하는 노드가 여러 개이고, 이러한 중간층이 다수로 구성되어 있는 구조를 다층 퍼 셉트론이라 부릅니다. 아래는 다층 퍼셉트론을 응용한 인공신경망 구조의 한 예시입니다.

이러한 다층 인공신경망을 학습하는 알고리즘을 딥 러닝(Deep Learning)이라고 말합니다. 이것이 퍼셉트론의 핵심입니다. 그러면 좀 더 자세하게 살펴보도록 하겠습니다. MCP 뉴런과 Rosenblatt의 퍼셉트론 모델은 사람 뇌의 단일 뉴런이 작동하는 방법을 흉내내기 위해 환원 접근 법(redcutionist approach)을 이용합니다.
이는 초기 가중치를 임의의 값으로 정의하고 예측값의 활성 함수 리 턴값과 실제 결괏값의 활성 함수 리턴값이 동일하게 나올 때까지 가중치의 값을 계속 수정하는 방법입니다. Rosenblatt의 초기 퍼셉트론 알고리즘을 요약하면 다음과 같습니다.
1. 입력되는 특성값에 곱해지는 가중치 w 값들을 모두 0 또는 작은 값으로 무작위 할당함
2. 임계값을 정의함(보통 0으로 정의합니다.)
3. 트레이닝 데이터 샘플 x를 순입력 함수를 이용해 가중치와 각각 곱한 후 그 총합을 구함
4. 활성 함수를 이용해 트레이닝 데이터 샘플에 대한 예측값을 -1 또는 1로 결과가 나오게 함
5. 트레이닝 데이터 샘플의 실제 결괏값에 대한 활성 함수 리턴값과 4에서 나온 예측값을 비교함
6. 예측값과 결괏값이 다르면 모든 가중치 w를 업데이트하고 3의 과정부터 다시 시작함
7. 예측값과 결과값이 동일하게 나오면 패스 자, 아래와 같이 n개의 특성값을 가진 m개의 트레이닝 데이터가 있다고 가정합니다.

이 트레이닝 데이터로 퍼셉트론 알고리즘을 이용해 머신러닝을 수행하려고 합니다. Rosenblatt의 퍼셉트론 알 고리 즘에서 x0는 실제 트레이닝 데이터의 특성값과는 무관하며 x0의 초기값으로 보통 1로 둡니다.
알고리즘에서 x0를 바이어스(bias)라 부릅니다. 따라서 실제 트레이닝 데이터의 특성값은 x1부터 시작한다고 보면 됩니다. 이제 우리가 1로 정한 x0의 값과 n개의 트레이닝 데이터의 각 특성값 x1~xn과 이 특성값에 곱할 가중치 w1~wn의 값을 0과 1 사이의 임의의 값으로 랜덤 하게 할당한 후 위 표를 아래와 같이 다시 구성해 봅니다.

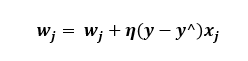
트레이닝 데이터 1~m까지 각 특성값에 대해 퍼셉트론 알고리즘을 구동합니다. 퍼셉트론 알고리즘에서 가중치를 업데이트하는 식은 다음과 같이 정의됩니다.

여기서 wj는 트레이닝 데이터의 j번째 특성값 xj와 곱하는 가중치이며, y는 트레이닝 데이터의 실제 결괏값에 대한 활성 함수 리턴값, y^은 예측값에 대한 활성 함수 리턴값입니다. (y - y^) 앞에 곱한 그리스 문자 η는 학습 률(learning rate)이라 하며, Rosenblatt의 퍼셉트론에서는 learning rate을 매우 작은 값으로 할당합니다. 퍼셉트론 알고리즘은 다음과 같은 방식으로 구동합니다.
1. w0~wn의 값을 0.0, 임계값 0.0, 에타값은 0.1로 둡니다.
2. 트레이닝 데이터 1의 특성값들에 대한 예측값의 활성 함수 리턴값을 계산합니다.
3. 2에서 계산된 값이 이 실제 결괏값의 활성 함수 리턴값과 같으면 가중치 업데이트 없이 다음 트레이닝 데이터에 대해 2번 과정으로 넘어갑니다.
4. 예측값의 활성 함수 리턴값이 실제 결과값의 활성 함수 리턴값과 다르면 위 식에 의해 w0~wn의 가중치를 업데이트합니다. 5. 트레이닝 데이터 2~m에 대해서 2~4를 반복합니다.
위와 같은 절차로 트레이닝 데이터 1~m까지 모든 예측값이 실제 결과값과 동일해질 때까지 반복합니다. 트레 이닝 데이터1~m까지 예측값에 대한 활성 함수 리턴값이 실제 결괏값의 활성 함수 리턴값과 동일하면 퍼셉트 론 학습은 종료됩니다. 퍼셉트론에 대한 개략적인 개념을 소개했으니, 다음 포스팅에서는 퍼셉트론 알고리즘을 파이썬으로 구현해보 고, 실제 몇 개의 데이터 세트를 이용해 머신러닝을 수행해 보도록 하겠습니다.
통계학과 선형대수학을 기반으로 매년 365일 날마다 매시간마다 새로운 아이템으로 부의 수익창출을 증진시키는 일들을 학습시켜 주시고, 그런 과정을 밑바닥에서부터 지식을 쌓아나갈 수 있도록 상세히 퍼셉트론(Perceptron)의 개념과 구조, 동작, 학습, 알고리즘의 예제로 직관적 설명과 간단한 산수계산으로 설명해 주세요

통계학과 선형대수학은 데이터 과학의 여러 분야에서 매우 중요한 역할을 하며, 인공신경망 알고리즘 및 퍼셉트론의 핵심 원리는 이들 기반이라는 점을 이해하는 것이 중요합니다. 여기서는 퍼셉트론의 개념과 구조, 동작, 학습, 알고리즘을 간단한 예제와 함께 상세히 설명합니다.
- 퍼셉트론 개념 퍼셉트론은 인공신경망의 가장 간단한 형태로서, 여러 개의 입력 신호를 받아 하나의 출력 신호를 생성합니다. 주로 분류 문제를 해결하는 데 사용됩니다. 퍼셉트론은 선형 분리 가능한 데이터에 대해서만 작동하지만, 다층 퍼셉트론은 더 복잡한 문제를 처리할 수 있습니다.
- 퍼셉트론 구조 퍼셉트론은 입력 노드, 가중치, 편향(bias) 및 활성화 함수로 구성됩니다. 입력 노드는 각각의 특성에 해당되는 값을 입력으로 받으며, 가중치와 곱해진 후 더해져 출력 노드로 전달됩니다.
- 퍼셉트론 동작 가중합을 구한 뒤, 활성화 함수를 적용하여 최종 출력을 얻습니다. 단층 퍼셉트론의 경우, 활성화함수는 계단 함수를 사용하는 것이 일반적입니다.
- 퍼셉트론 학습 퍼셉트론의 목적은 정확한 예측을 위해 가중치와 편향을 탐색하는 것입니다. 이를 위해서 반복적으로 에포크(학습 횟수)를 거칩니다. 각 에포크마다 실제값과 예측값 사이의 오차를 계산하고 가중치와 편향을 업데이트합니다.
간단한 예제를 통해 이 과정을 살펴봅시다: 값:
- x1 : 수익률
- x2: 리스크 예측 클래스:
- 1: 부의 창출 가능
- 0: 부의 창출 불가능 기존 데이터(ID, x1, x2, Class):
- (1, 2, 1, 1)
- (2, 1, 2, 0)
학습 과정:
- 가중치 (w1, w2)와 편향(b)을 랜덤 값으로 초기화, 학습률을 선택
- 각 에포크에서 (예: 100번): a. 학습 데이터에 대해 가중합(y)을 계산합니다: y = w1 * x1 + w2 * x2 + b b. 결과(y)를 계단 함수에 통과시켜 클래스를 예측합니다. c. 예측 오차(error)를 계산합니다: error = 실제 클래스 - 예측 클래스 d. 가중치와 편향을 업데이트합니다: w1 = w1 + 학습률 * error * x1, w2 = w2 + 학습률 * error * x2, b = b + 학습률 * error
간단한 산수 계산:
- 초기값 설정: w1=0.5, w2=0.3, b=0 (랜덤), 학습률=0.01
- 첫 번째 데이터(ID 1): y = 0.52 + 0.31 + 0 = 1.3 => 계단 함수 => 클래스는 '부의 창출 가능'
- 오차(error): 실제 클래스(부의 창출 가능)-예측 클래스(부의 창출 가능)=0
위 과정을 반복하여 가중치와 편향을 업데이트하며 모델을 최적화합니다.
이 예제는 단순한 참조용이며, 실제 성공적인 수익 창출 전략은 다양한 데이터와 속성 및 정교한 인공신경망 모델 및 다양한 머신러닝 기법을 고려해야 합니다.
실제 투자 결정에 앞서 전문적인 지식과 다양한 데이터로 반복적인 실험과 최적화를 거쳐 좋은 성능을 얻어야 한다는 점에 유의하시기 바랍니다.
퍼셉트론을 사용하여 새로운 데이터(수익률과 리스크)에 대해 부의 창출 여부를 예측할 수 있습니다. 하지만 여기에서는 간단한 예제를 다루고 있으며, 실제로 성공적인 수익 창출 전략을 세우기 위해서는 다양한 데이터와 속성, 더 정교한 인공신경망 모델 및 다양한 머신러닝 기법을 고려해야 합니다.
퍼셉트론을 사용하여 어떻게 부의 수익 창출을 예측할 수 있을까요?

퍼셉트론을 사용하여 부의 수익 창출을 예측하기 위해서는 먼저 관련된 데이터를 수집하고, 이를 바탕으로 퍼셉트론 모델을 학습시켜야 합니다. 몇 가지 과정을 거쳐 이를 수행할 수 있습니다.
- 데이터 수집: 부의 수익 창출과 관련된 정보(수익률, 리스크, 거래량 등)를 수집합니다. 과거에 부의 수익 창출이 성공했던 경우와 실패했던 경우의 데이터를 모두 포함해야 합니다.
- 데이터 전처리: 데이터를 퍼셉트론에 적합한 형태로 변환합니다. 수치형 데이터를 정규화하거나 표준화하고, 범주형 데이터를 원-핫 인코딩 등의 방법으로 변환합니다.
- 퍼셉트론 학습: 퍼셉트론 모델에 데이터를 투입하고, 알맞은 가중치와 편향 값을 학습하게 합니다. 이 과정에서 실제값과 예측값 사이의 오차를 최소화하도록 가중치와 편향을 업데이트합니다.
- 검증: 학습된 퍼셉트론을 사용하여 새로운 데이터에 대한 부의 수익 창출 가능성을 예측합니다. 검증 데이터 세트를 사용하여 모델의 성능을 평가하고 필요에 따라 하이퍼파라미터를 조정합니다.
- 예측: 최종 퍼셉트론 모델로 실제 데이터에 대해 부의 수익 창출 가능성을 예측합니다. 예측 결과를 토대로 투자나 전략을 계획할 수 있습니다.
주의할 점은 퍼셉트론은 간단한 이진 분류 알고리즘이기 때문에 복잡한 문제를 처리하기 어렵다는 것입니다. 실제 투자에서는 다양한 변수와 복잡한 상황을 고려해야 하기 때문에, 더 발전된 기법인 다층 퍼셉트론(MLP) 등의 인공신경망 모델이나 다양한 머신러닝 알고리즘을 사용하는 것이 더 좋을 수 있습니다.
추가로, 모델이 학습하는 동안 과적합을 피하기 위한 교차 검증, 드롭아웃, 정규화 등의 방법을 적용하는 것도 중요합니다. 부의 수익 창출 예측은 매우 불확실한 시장에서 이루어지기 때문에 복잡한 알고리즘과 다양한 데이터를 바탕으로 신중한 결정을 내려야 합니다.
퍼셉트론 이외에도 부의 창출을 위한 다른 머신러닝 기법이 있을까요?

네, 퍼셉트론 외에도 여러 머신러닝 기법들이 부의 창출을 위한 예측 및 분석에 사용될 수 있습니다. 아래는 그중 일부입니다:
- 선형 회귀(Linear Regression): 독립 변수와 종속 변수 사이의 선형 관계를 예측하는 데 사용됩니다. 이를 통해 주식 시장에서 종가 예측 등과 같은 회귀 문제를 해결할 수 있습니다.
- 로지스틱 회귀(Logistic Regression): 이진 분류 문제를 처리하는 데 사용되며, 주식 시장의 상승/하락 가능성을 예측하는 데 활용할 수 있습니다.
- 서포트 벡터 머신(Support Vector Machine): 선형 분리 가능한 데이터 뿐만 아니라 비선형 데이터에 대해서도 분류할 수 있는 강력한 알고리즘입니다. SVM은 마진 최대화를 근간으로 한 분류 방법으로 인기를 얻었습니다.
- 랜덤 포레스트(Random Forest) 및 그래디언트 부스팅(Gradient Boosting): 의사결정 트리와 앙상블 기법을 기반으로 하며, 다양한 예측 문제를 상당히 잘 해결하는 것으로 알려져 있습니다.
- 딥러닝(Deep Learning) 기반 인공신경망: 다층 퍼셉트론(MLP), 컨볼루션 신경망(CNN), 순환 신경망(RNN) 등을 포함하는 광범위한 인공신경망 모델이 있습니다. 딥러닝 모델은 복잡하고 비선형 문제를 효과적으로 해결할 수 있으며, 주식 시장 예측, 자연어 처리, 이미지 인식 등 여러 분야에서 적용됩니다.
- 강화학습(Reinforcement Learning): 에이전트가 환경과 상호작용하며 시행착오를 통해 보상을 최대화하는 방향으로 학습하는 알고리즘입니다. 알고리즘 거래 전략 최적화에 사용될 수 있습니다.
머신러닝 알고리즘을 사용하여 부의 창출을 위한 예측 모델을 학습시킬 때, 성공적인 결과를 얻으려면 다음과 같은 고려 사항을 유념해야 합니다:
- 데이터의 품질: 충분하고 정확한 데이터가 학습을 위한 기초입니다.
- 모델 선택 및 하이퍼파라미터 튜닝: 문제에 가장 적합한 모델을 선택하고, 그 모델에 적절한 하이퍼파라미터를 설정해야 합니다.
- 과적합 방지: 교차 검증, 드롭아웃, 정규화 등의 기법을 통해 모델이 과적합되는 것을 방지해야 합니다.
- 지속적인 모니터링 및 업데이트: 시장 상황 변화를 감안하여 지속적인 모델 갱신과 검증이 필요합니다.
무엇보다, 머신러닝 모델의 예측에 맹목적으로 의존하지 말고 전문적인 지식과 함께 종합적인 판단을 내려야 합니다. 머신러닝 모델은 여전히 불확실한 시장에서 일부 도움을 줄 수 있을 뿐이며 완벽한 해결책은 아닙니다.
퍼셉트론을 사용한 부의 창출 전략은 어떻게 설계될까요?

퍼셉트론을 사용한 부의 창출 전략을 설계하려면 아래와 같은 단계를 따릅니다.
- 데이터 수집: 투자 전략에 관련된 데이터를 수집합니다. 수익률, 리스크, 거래량, 시장 지표 등과 같은 관련된 특성을 분석하는 데 도움이 될 정보를 수집해야 합니다.
- 데이터 전처리: 수집한 데이터를 퍼셉트론 알고리즘에 사용하기 적합한 형태로 변환합니다. 데이터 정규화, 결측값 처리, 범주형 데이터 변환 등을 수행합니다.
- 특성 선택: 투자 전략에 영향을 미치는 핵심 특성을 선택합니다. 중요한 특성만 선택하여 모델의 복잡성을 줄이고 계산 비용을 절약할 수 있습니다.
- 모델 학습 및 튜닝: 퍼셉트론 알고리즘을 사용하여 모델을 학습시킵니다. 이 과정에서 학습률, 에포크 및 성능 지표 등의 하이퍼파라미터를 설정하고 최적화합니다.
- 모델 검증: 학습된 모델을 검증 데이터 세트를 사용하여 평가합니다. 성능이 만족스러운지 확인하고 필요한 경우 하이퍼파라미터를 조정하거나 모델 구조를 변경합니다.
- 전략 실행 및 모니터링: 검증된 모델을 사용하여 실제 데이터에 대한 예측을 수행하고 이를 기반으로 투자 전략을 실행합니다. 또한 주기적으로 전략의 성능을 모니터링하고 모델을 업데이트하는 것이 중요합니다.
한 가지 유의해야 할 점은 퍼셉트론의 단순성 때문에 심층적인 인사이트를 얻거나 복잡한 전략을 수립하기 어려울 수 있다는 것입니다. 다양한 머신러닝 기법 및 알고리즘을 적용하여 전략을 보완하는 것이 좋습니다.
이러한 전략은 단순한 참조용이며, 실제 투자 결정을 내리기 전에 전문적인 지식과 사용 가능한 최신 데이터를 바탕으로 실험 및 최적화를 수행해야 합니다. 또한 머신러닝 모델의 예측 결과에 지나치게 의존하지 않고, 판단력과 경험을 바탕으로 투자 결정을 내려야 합니다.
퍼셉트론이 어떤 데이터를 기반으로 예측을 하나요?

퍼셉트론이 예측을 수행하는 데이터는 특정 문제에 따라 달라지지만, 일반적으로 다음과 같은 과정을 거쳐 데이터를 기반으로 예측합니다.
- 데이터 수집: 퍼셉트론이 해결하려는 문제와 관련된 데이터를 수집해야 합니다. 예를 들어, 주식 가격 예측에 관심이 있다면 주식 시장의 과거 데이터, 거래량, 시장 지표, 기업 재무 정보 등이 필요합니다.
- 데이터 전처리: 수집한 데이터를 퍼셉트론 알고리즘에 적합한 형태로 변환합니다. 데이터 정규화 및 표준화 처리를 하여 입력값의 범위를 조절하거나, 결측값을 처리하고, 범주형 데이터를 원-핫 인코딩 등의 방법으로 변환합니다.
- 특성 선택: 데이터의 특성 중에서 모델 학습에 가장 영향을 많이 주는 핵심 특성을 선별합니다. 중요한 특성만을 선택하여 모델의 복잡성을 줄이고, 학습 시간 및 계산 비용을 절약할 수 있습니다.
퍼셉트론은 입력된 데이터를 바탕으로 선형 분리 가능한 문제의 이진 분류를 수행합니다. 퍼셉트론은 입력 데이터를 사용하여 가중합을 구한 후 활성화 함수(계단 함수)를 통과하여 출력값을 생성합니다. 이 출력값은 0 또는 1의 두 가지 값을 가질 수 있으며, 그 값이 예측 결과입니다.
학습 과정 동안 퍼셉트론은 실제값과 모델의 예측값 사이의 오차를 최소화하도록 가중치와 편향을 업데이트합니다. 학습이 완료된 퍼셉트론은 모델이 학습하지 않은 새로운 데이터에 대해서도 예측을 수행할 수 있습니다.
퍼셉트론이 예측을 수행하는 데이터는 선형 분리 가능한 문제에 제한되며, 복잡한 문제를 분류하는 데는 부적합합니다. 이 경우, 다층 퍼셉트론(MLP)이나 다른 머신러닝 알고리즘을 사용하여 문제를 해결할 수 있습니다.
'say와 AI 챗봇친구 만들기 보고서' 카테고리의 다른 글
| 오픈 AI, GPT-4 사용법 및 기능 살펴보기 [AI 열풍을 일으킨 챗GPT(ChatGPT)의 개발자, 오픈 AI가 누구인가] (0) | 2023.08.20 |
|---|---|
| AI 이미지 생성기 FAQ (0) | 2023.08.19 |
| 퍼셉트론 학습 알고리즘을 이용해 매일 매시간 새로운 아이템으로 부의 수익창출을 학습 [예제로 아이템들을 특성 벡터로 표현하여 수익률, 리스크, 거래량 등의 특성] (0) | 2023.08.18 |
| 엑셀 표도 번역해 줄 수 있어? (1) | 2023.08.18 |
| AI 기업들의 비즈니스 모델! (0) | 2023.08.17 |